列表渲染
我们可以使用 v-for 指令基于一个数组来渲染一个列表。v-for 指令需要使用 item in items 形式的特殊语法,其中 items 是原数据数组,而 item 则是被迭代的数组元素的别名
遍历数组 重要
<!DOCTYPE html>
<html>
<head>
<meta charset="UTF-8" />
<title>基本列表</title>
<script type="text/javascript" src="../js/vue.js"></script>
</head>
<body>
<div id="root">
<!-- 遍历数组 -->
<h2>人员列表(遍历数组)</h2>
<ul>
<li v-for="p in persons" :key="p.id">
{{p.name}}-{{p.age}}
</li>
</ul>
</div>
<script type="text/javascript">
new Vue({
el:'#root',
data:{
persons:[
{id:'001',name:'张三',age:18},
{id:'002',name:'李四',age:19},
{id:'003',name:'王五',age:20}
]
}
})
</script>
</html>
v-for 还支持一个可选的第二个参数,即当前项的索引。
<ul>
<li v-for="(p,index) in persons" :key="p.id">
{{p.name}}-{{p.age}}
</li>
</ul>
同时也可以用 of 代替 in 作为分隔符,因为它更接近 js 迭代器的语法:
<ul>
<li v-for="(p,index) of persons" :key="p.id">
{{p.name}}-{{p.age}}
</li>
</ul>
<script type="text/javascript">
new Vue({
el:'#root',
data:{
persons:[
{id:'001',name:'张三',age:18},
{id:'002',name:'李四',age:19},
{id:'003',name:'王五',age:20}
]
}
})
</script>
遍历对象 重要
<ul>
<li v-for="(value,key,index) of car" :key="key">
{{key}}-{{value}}
</li>
</ul>
<script type="text/javascript">
new Vue({
el:'#root',
data:{
car:{
name:'奥迪A8',
price:'70万',
color:'黑色'
}
}
})
</script>
结果:
TIP
name-奥迪A8--0 price-70万--1 color-黑色--2
其中 key 是 对象中属性的名称。
其他遍历 不常用
遍历字符串
<ul>
<li v-for="(char,index) of str" :key="index">
{{char}}-{{index}}
</li>
</ul>
new Vue({
el:'#root',
data:{
str:'hello'
}
})
遍历指定次数
<ul>
<li v-for="(number,index) of 5" :key="index">
{{index}}-{{number}}
</li>
</ul>
key的作用 重点
上面写的 v-for 都加了一个 :key,为什么要加上呢。
要解释 key 的作用首先要了解 虚拟DOM和Diff算法。
vue和react都实现了一套虚拟DOM,使我们可以不直接操作DOM元素,只操作数据便可以重新渲染页面。而隐藏在背后的原理便是其高效的Diff算法。
vue和react的虚拟DOM的Diff算法大致相同,其核心是基于两个简单的假设:
两个相同的组件产生类似的DOM结构,不同的组件产生不同的DOM结构。
同一层级的一组节点,他们可以通过唯一的id进行区分。

当页面的数据发生变化时,Diff算法只会比较同一层级的节点:
如果节点类型不同,直接干掉之前的节点,再创建并插入新的节点,不会再比较这个节点以后的子节点了。
如果节点类型相同,则会重新设置该节点的属性,从而实现节点的更新。
当某一层有很多相同的节点时,也就是列表节点时,Diff算法的更新过程默认情况下也是遵循以上原则。
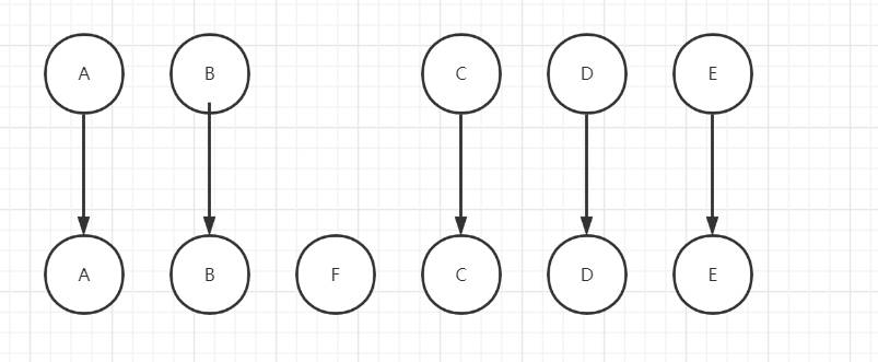
比如一下这个情况:

我们希望可以在B和C之间加一个F,Diff算法默认执行起来是这样的:

即把C更新成F,D更新成C,E更新成D,最后再插入E。这样做很没有效率。
所以我们需要使用key来给每个节点做一个唯一标识,Diff算法就可以正确的识别此节点,找到正确的位置区插入新的节点。

key的作用主要是为了高效的更新虚拟DOM。
通过下面例子感受一下。
在数组前面添加一条数据
<button @click.once="add">添加一个老刘</button>
<ul>
<li v-for="(p,index) of persons" :key="index">
{{p.name}}-{{p.age}}
<input type="text">
</li>
</ul>
<script type="text/javascript">
new Vue({
el:'#root',
data:{
persons:[
{id:'001',name:'张三',age:18},
{id:'002',name:'李四',age:19},
{id:'003',name:'王五',age:20}
]
},
methods: {
add(){
const p = {id:'004',name:'老刘',age:40}
this.persons.unshift(p)
}
},
})
</script>
我们在 input 输入框输入数据

然后点击添加,发现老刘虽然添加了,但是后面的输入框数据不对,应该是空的才对,其他人员后面的输入框中的数据也不对,这是为什么呢?

由上图我们能看到,首先初始数据会生成 虚拟DOM 然后再将 虚拟DOM 转换成 真实DOM,最后才渲染到页面上,在input上输出数据。
点击按钮,添加一个成员,根据新数据生成 虚拟DOM,然后通过 diff 算法根据 key 和初始虚拟DOM,进行比较,根据图片看到新虚拟DOM中 key=0 的数据和 初始虚拟DOM中的不一样,但是 <input> 标签是一样的,这时在转换真实DOM的时候,老刘-30 重新渲染,<input> 标签复用之前的。其他的道理一样,一直到 key=3 此时,初始虚拟DOM没有 key=3 所以整个 <li> 都会转为真实DOM,input 里面自然也就没有数据。
总结原因就是
TIP
当以数组为下标的index作为key值时,其中一个元素(例如增删改查)发生了变化就有可能导致所有的元素的key值发生改变 diff算法时比较同级之间的不同,以key来进行关联,当对数组进行下标的变换时,比如删除第一条数据,那么以后所有的index都会发生改变,那么key自然也跟着全部发生改变,所以index作为key值是不稳定的,而这种不稳定性有可能导致性能的浪费,导致diff无法关联起上一次一样的数据。
因此,能不使用index作为key就不使用index。要是用不会改变的唯一标识符。
我们上面的案例就要改一下了,将 key 改成 id
<li v-for="(p,index) of persons" :key="p.id">
{{p.name}}-{{p.age}}
<input type="text">
</li>
这时,就不会出现问题了。
